Айкос (iqos) вреднее, чем сигареты, или нет?

  • Автор темы Автор темы Sergey
  • Дата начала Дата начала

Где больше вреда для здоровья?


  • Всего проголосовало
    100
Все эти "заменители" похожи на резиновые штуки для секса. Вроде все то же самое, но что-то все равно не то.
Может я в край старомодная, но точно бы не стала переходить с сигарет на эти парилки.
А про меньший вред вообще странно читать, типа "Я не пью водку, она вредная, но пивасик - это круть".
 
ну я хз...у меня соседка курит его...и говорит что курить бросила. Типа вот это она не курит. Гуляем с псами вечером, я не курю, она айкос курит и мы обе довольные что курить бросили. Зашибись.
?не курит ??? тогда и мне бросать нечего,я год курила только его,а бросаешь его и ломка такая же как от обычных сигарет.никотин он и есть никотин)горит он,или нагреваешься, разницы нет. Бросать так же тяжело.
 
Пользовался айкосом 2 месяца,самочувствие ухудшилось,появились пятна на теле.С сегодняшнего дня не курю/парю.
 
Все эти "заменители" похожи на резиновые штуки для секса. Вроде все то же самое, но что-то все равно не то.
Может я в край старомодная, но точно бы не стала переходить с сигарет на эти парилки.
А про меньший вред вообще странно читать, типа "Я не пью водку, она вредная, но пивасик - это круть".
Какая же ты старомодная,если шаришь в игрушках для секаса)))
 
Посмотреть вложение 822521

Народ, как вы считаете, айкос вреднее сигарет, или нет? Понятно, что производитель приводятся всяческие выкладки о значительно меньшем вреде. Но так ли это на самом деле? Что лучше сигареты или айкос (iqos)?

Вред IQOS, мнение доктора Косова



Токсикологи сравнили вред от курения «нагревателей табака» с сигаретами и вейпом. И не нашли особенных отличий

Ученые утверждают, что впервые продемонстрировали: IQOS так же вреден для клеток легких человека, как вейп и курение сигарет

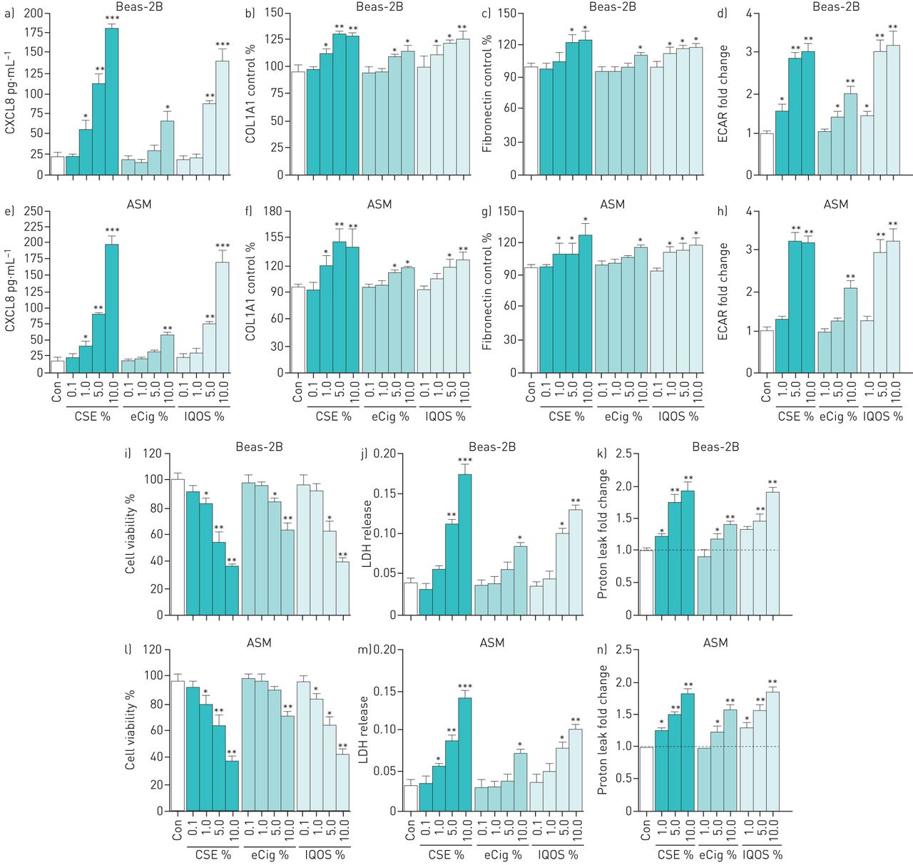
Австралийские ученые представили данные сравнительного токсикологического исследования традиционных сигарет, вейпа и недавно появившихся систем нагревания табака (HnB). Последние преподносятся на рынке как наиболее безопасная альтернатива курению табака — за счет того, что табак в таких устройства не горит, а только нагревается. Однако новые данные этого не подтверждают.

Дым обычных сигарет и пар систем нагревания табака оказались одинаково токсичны для клеток бронхов и легких. При этом, как утверждают ученые в статье, опубликованной в журнале ERJ Open Research, пока нельзя сделать выводы о разнице последствий этих трех видов курения в долгосрочной перспективе в силу отсутствия соответствующих наблюдений.

За последнее десятилетие рынок предложил курильщикам сразу две альтернативы традиционным сигаретам. И электронные сигареты (вейп), и системы нагревания табака позиционируют себя как менее вредные для здоровья. Действие первых основано на нагревании специальной жидкости и вдыхании ее паров, второй — на нагревании табака. Об эффекте вейпа уже появился ряд исследований, оценивающих их вред для здоровья. Про системы нагревания табака — в силу их новизны — пока практически нет данных. При этом одно из немногочисленных исследований показало, что более половины людей, заинтересованных в IQOS, раньше никогда не курили, что, по мнению авторов статьи, прежде всего, конечно, связано с особенностями маркетинговой кампании продукта как безвредного.

В новом эксперименте ученые использовали клетки бронхиального эпителия человека и первичные клетки гладкой мышцы дыхательных путей человека. В здоровых легких клетки эпителия действуют как преграда для любых чужеродных частиц, попадающих в дыхательные пути. А клетки гладкой мышцы работают как каркас, поддерживают структуру дыхательных путей. На образцы воздействовали паром от электронных сигарет с содержанием никотина в жидкости 1,2%, дымом, вырабатываемым прибором IQOS (содержание табака 1,4 мг), и дымом от традиционных сигарет с содержанием никотина 1,2 мг. Все вещества ученые подготовили в нескольких концентрациях — от 0,1 до 10%. Спустя 72 часа исследователи замерили несколько показателей, используемых для определения токсичности воздействия.

В частности, на обоих типах клеток было показано, что воздействие сигарет и IQOS приводит к снижению общей жизнеспособности клеток более чем в два раза при 10-процентной концентрации в сравнении с контрольным экспериментом без всякого воздействия. Также в клетках возросло высвобождение лактатдегидрогеназы — фермента, высокое содержание которого связывают с патологическими процессами в клетках: в среднем примерно в полтора раза — при воздействии IQOS в максимальной концентрации, чуть больше — у сигарет. Наконец, возрос уровень окислительного стресса в клетках, то есть снизилось качество клеточного дыхания: при максимальной концентрации у систем нагревания табака и сигарет он был почти в два раза больше, чем в норме, и в полтора раза — у вейпа.

Посмотреть вложение 824226
Как влияет на клетки бронхиального эпителия (Bess-2B) и первичные клетки гладкой мышцы (ASM) дым сигарет (CSE), пар вейпа (eCig) и пар IQOS в четырех концентрациях по семи параметрам

Sukhwinder Singh Sohal et al. / ERJ Open Research / CC BY 4.0


«Мы впервые продемонстрировали, что IQOS так же вреден для клеток легких человека, как вейп и курение сигарет», — пишут авторы.

Как пишут авторы работы, наносимые дымом всех трех типов повреждения клеток могут привести к прогрессивным патологическим процессам в тканях легких и в итоге к таким заболеваниям, как пневмония, хроническая обструктивная болезнь легких и рак легких.

via

@Инга Ч.
Вот тема для тебя
 
Хорошо что я бросил по массового появления всех этих новомодных штук. Но между попытками перевод на сигареты объёмом в 50% обычных и слабой крепости
 
ток бронхов и легких. При этом, как утверждают ученые в статье, опубликованной в журнале ERJ Open Research, пока нельзя сделать выводы о разнице последствий этих трех видов курения в долгосрочной перспективе в силу отсутствия с
 
Кто-нибудь пробовал бросать курить переходя на айкос:)? И вообще это помогает?
 
Кто-нибудь пробовал бросать курить переходя на айкос:)? И вообще это помогает?
Я просто решила попробовать айкос во время качель, додуматься же..Не помогает слезть с одного наркотика заменив его другим. С головой надо работать:banghead:
 
Даже не думайте эту гадость пробовать
 
Я пробовал два раза. Запах канеш. Не пойму как такое можно вообще курить.
Меня все устраивало, но лично мне, с айкоса и гло бросить было нереально...дымишь их постоянно
 
Меня все устраивало, но лично мне, с айкоса и гло бросить было нереально...дымишь их постоянно
Да, я видел как знакомые курят их, очень часто. А сколько это за весь день. Ужас.
 
Да, я видел как знакомые курят их, очень часто. А сколько это за весь день. Ужас.
Ну так особо ничего не останавливает. Я в офисе при директоре бывало курил, когда работы много было
 
Я с айкосом попала - курю почти непрерывно, не отходя от рабочего компа. Количество потребляемых палочек с никотином увеличилось в полтора-два раза, по сравнению с сигаретами. Гладенькую шайтан-машинку заряжаю и курю вообще не думая и не глядя. Пугает. Из симптомов неприятных - сухость в горле. Бесит, не нравится. Ловушка.
 
Я с айкосом попала - курю почти непрерывно, не отходя от рабочего компа. Количество потребляемых палочек с никотином увеличилось в полтора-два раза, по сравнению с сигаретами. Гладенькую шайтан-машинку заряжаю и курю вообще не думая и не глядя. Пугает. Из симптомов неприятных - сухость в горле. Бесит, не нравится. Ловушка.
Добро пожаловать на форум!
Советую взять ресигар и бросить курить.
 

Сейчас в теме:

Назад
Сверху Снизу