Как понять, что ты алкоголик?

  • Автор темы Автор темы Sergey
  • Дата начала Дата начала
Привет!!! Я тоже рада)). Ты собираешься по месяцу год набрать без перерыва? Или отмечать окончания месячников?
Специально отмечать не буду. Но при случае культурно посидеть между месячниками - обязательно воспользуюсь. Иначе куда мне столько самогонки девать.... :)
 
Внутри черепушки вообще нет болевых рецепторов.... То что болит - находится по эту сторону кости....
То есть если тебе ударить по голове, скажем бейсбольной битой, она у тебя не заболит ? :D
Есть у меня друг. Сидим в одном кабинете. Работаем вместе 12 лет. Таки вот: я могу пить каждый вечер. Вот прихожу с работы и под новости грамм 150-200 водочки под закуску выпиваю. Редко когда на сухую вечер проходит.
Друг мой пьет 2-3 раза в год. Но если выпил - я его 7-10 дней даже не ищу. Первые годы искал -милиция, объявления и т.д. С годами понял, что все бесполезно - пока сам не вернется, не пропьётся - не вернется.
Вот такие вот абсолютно разные симптомы одной проблемы.
Про, что и разговор, организмы и толерантность у всех разные. И, что ты гордишься тем , что пьёшь каждый день? Выходит, что тебе печень не ненужна, в ней-то как раз нет болевых рецепторов - она помирает тихо.
 
Для начала нужно вернуть гос. монополию, а потом через народный референдум принять сухой закон.
Обращение 1700 врачей​
в Государственную Думу, в Совет Федераций,
ко всем гражданам России
Дорогие соотечественники!
Дорогие братья и сестры!


Мы, врачи, профессора, академики медицины, обращаемся к вам с просьбой обсудить и вынести решение об официальном признании наркотиками алкоголя и табака, получивших массовое распространение в нашей стране, причинивших и причиняющих огромный вред человеку и обществу, ставящих под угрозу само существование нашего Отечества как культурного государства.

Все выдающиеся ученые мира, как прошлого, так и настоящего, бескомпромиссно установили, что алкоголь является сильным наркотическим ядом.

А.Н. Тимофеев в книге «Нервно-психические нарушения при алкогольной интоксикации» (Л., 1955 г.) пишет: «Алкоголь относится к наркотическим веществам жирного ряда, действующим парализующим образом на любую живую клетку… особенно на клетку коры головного мозга… оказывает парализующие действия на высшие отделы центральной нервной системы (ЦНС) растормаживает механизмы нижележащих отделов. Этим объясняется возбужденное поведение человека, так как тормозной процесс в высших отделах уже пострадал».

В.К. Федоров, ближайший ученик И.П. Павлова, в статье «О начальном влиянии наркотиков (алкоголя и хлоралгидрата)» утверждает, что «…алкоголь есть наркотик, и как всякий наркотик, имеет свои особенности и лишь в деталях отличается от других наркотиков: все фазы влияния алкоголя на ЦНС растянуты, …эйфория при алкоголе более отчетливая, чем и объясняется тяготение в человеческом обществе к алкоголю» («Труды физиологической лаборатории И.П. Павлова», 1949 г.) А.И. Введенский: «Алкоголь относится к наркотическим ядам, из всех тканей тела имеет наибольшее сродство к ЦНС («О вменяемости алкоголиков», М., 1935 г.). Н.Е. Введенский пишет (П. С. П., т.7, Л., 1963 г., ст. «О действии алкоголя на человека»): «Действие алкоголя во всех содержащих его спиртных напитках (водки, ликеры, вина, пиво и т.д.) на организм сходно с действием наркотических веществ и типичных ядов (таких, как хлороформ, эфир, опий и т.д.)».

Особо опасное действие алкоголь оказывает на организм ребенка. По данным фармаколога Н.Н. Кракова, у детей, не достигших возраста десяти лет, сильный токсический эффект, то есть отравление и даже смерть, наблюдается при дозе от 2-3-х столовых ложек водки, что соответствует приблизительно 15 гр. Чистого алкоголя (цит. По: Ю. Груббе. «Алкоголь, семья, потомство», 1974 г.).

В 1975 г. Всемирная ассамблея здравоохранения вынесла решение «считать алкоголь наркотиком, подрывающим здоровье».

В Большой Советской Энциклопедии (т. 2, стр. 116) сказано, что «алкоголь относится к наркотическим ядам».

Несмотря на все эти научные данные, в нашей стране имеет место странный парадокс: наркотический яд свободно продается даже в гастрономических магазинах.

Из всех наркотиков только алкоголь и табак не находятся под запретом законов, потому что они служат оружием могущественной мафии для ее обогащения, а также для эксплуатации людей и для свершения многих бесчеловечных преступлений.

Беды, которые они наносят человечеству, далее нетерпимы.

Алкоголь и табак разрушают здоровье миллионов людей, уменьшают продолжительность жизни человека на 16-20 лет, способствуют росту преступности, снижают производительность труда, являются причиной брака и аварий на производстве, разваливают экономику. Но самое губительное действие алкоголь оказывает на мозг и репродуктивные органы, что ведет к разрушению и гибели не только настоящего, но и будущего человека как разумного существа. Установлено, что даже кружка пива вызывает структурные изменения в организме. При длительном употреблении алкоголя имеет место перерождение тканей и атрофия их, что особенно резко и рано проявляется в мозгу. Сначала происходит атрофия больших полушарий и мозжечка, разряжение и запустение их коры в связи с гибелью корковых нейронов (В.К. Болецкий. «Тезисы научной конференции». М., 1955 г.). Изменение структуры головного мозга возникает уже при «умеренном» потреблении алкоголя. Шведские ученые установили, что уже после 4-х лет потребления алкоголя имеет место сморщенный мозг из-за гибели миллиардов корковых клеток. Сморщенный мозг наблюдается у «умеренно» пьющих в 85 % случаев. («Наука и жизнь», №10, 1985 г.). Уже давно лучшие умы человечества требовали запретить производство и потребление этих ядовитых веществ, распространив на них закон о борьбе с наркоманией. 80 лет назад 800 врачей из Англии, Германии, Австрии обратились с воззванием прекратить считать алкоголь пищевым продуктом и отнести его к наркотикам. Но тогда силы врагов трезвости были сильнее, и врачам не удалась их благородная миссия. Ныне мы вновь поднимаем свои голоса за спасение людей.

Мы – люди самой гуманной профессии, призванные защищать жизнь и здоровье людей, - не можем далее терпеть, что в нашей стране от причин, связанных с потреблением алкоголя и табака, ежегодно погибают около миллиона человек и рождается более 200 тысяч дефективных и дебильных детей. Наконец, здравый смысл требует решить этот вопрос логично и законно.

Почему алкоголь и табак, которые по своему губительному действию ничем не отличаются от других наркотических средств – таких, как морфий, опий, марихуана, эфир и т.д., - а приносят вред в десятки и сотни раз больше, чем все они, вместе взятые, почему они не подчинены закону о борьбе с наркоманией? Может быть, потому, что на алкоголе и табаке зарабатывают больше, чем на других наркотиках, что с их помощью можно погубить больше людей, что они позволяют совершать темные дела менее заметно? Так не пора ли нам перестать следовать указаниям мафии, наживающей на убийстве людей горы золота?

Для признания алкоголя и табака наркотиками и распространения на них закона о борьбе с наркоманией в международном масштабе необходимо решение ООН. Однако в этой организации нельзя исключить сильное влияние коммерческих интересов винно-водочной промышленности. Поэтому мы вправе решить этот вопрос внутри своей страны по примеру ряда арабских стран.

Учитывая, что потребление алкоголя и табака в нашей стране получило распространение, не имеющее себе равного в мире, учитывая огромные нравственные, демографические, экономические и экологические потери, которые понесли и продолжают нести наш народ и государство, учитывая, что дальнейшее отношение к алкоголю как пищевому продукту и свободная продажа его грозят полным подрывом здоровья, жизни и будущности нашего народа и могут закончиться катастрофой в самом недалеком будущем, - мы, врачи всех специальностей, вносим предложение: официально признать алкоголь и табак наркотиками и распространить на них закон о защите населения от наркомании».

Второй аспект проблемы – это вопрос: умеренное потребление или трезвость? По существу – это гвоздь всей проблемы. Позиция защитников «умеренного» потребления ошибочна в своей основе, так как она исходит из ложной предпосылки о существовании меры в потреблении алкоголя – наркотического яда. Если согласиться с тем, что для яда существует мера, то можно пускать в свободную продажу все виды наркотиков с предписанием употреблять их «умеренно». И весь народ погибнет от наркомании.

Письмо подписали академики медицинских наук России: Ф.Г. Углов (Санкт-Петербург), В.В. Кованов (Москва), Е.А. Вагнер (Пермь), Е.Н. Калнберз (Рига), Л.Т. Малая (Харьков), Е.И. Гончарук (Киев) и другие; члены-корреспонденты АМН: Н.С. Кисляк (Москва), П.П. Коваленко (Ростов-на-Дону) и другие; профессора и врачи И.В. Лебедев (Санкт-Петербург), В.В. Гриценко (Санкт-Петербург), К.Н. Самсонова (Брянск) и еще тысяча шестьсот восемьдесят шесть подписей из Москвы, Санкт-Петербурга, Саранска, Омска, Первоуральска, Екатеринбурга, Харькова, Иркутска и др.

Подлинные документы с подписями хранятся по адресу 197689, Санкт-Петербург ул. Л. Толстого 8, Санкт-Петербургский медицинский институт им. Академика И.П. Павлова.

Академик медицинских наук Федор Григорьевич Углов является научным руководителем Благотворительного Фонда Трезвости им. Геннадия Шичко.
Да никто ж не спорит что яд.
Как бы для этого тут и собрались. И слазят все кто как может. В силу своих сил, возраста и целей.
 
То есть если тебе ударить по голове, скажем бейсбольной битой, она у тебя не заболит ? :D

Про, что и разговор, организмы и толерантность у всех разные. И, что ты гордишься тем , что пьёшь каждый день? Выходит, что тебе печень не ненужна, в ней-то как раз нет болевых рецепторов - она помирает тихо.
Где ты прочитал что я горжусь?
 
Специально отмечать не буду. Но при случае культурно посидеть между месячниками - обязательно воспользуюсь. Иначе куда мне столько самогонки девать.... :)
Я ж тоже прошла две стодневки.. после первой на Новый год и Рождество попила... ну, я культурно-то не умею(((. А окончанию второй отметила, и ... кароч, было так, что повторения никак не хочу(((
 
Вчера из Амстердама. Пиво по 500 руб бутылка. Это распродажа была. Не знаю, что у них за алкозаконы, но под утро центры еврогородов завалены пивными стаканами, бутылками и прочей пивной атрибутикой. А здесь... вот не грузятся фотки, жалко-то как(((. Все усыпано трубочками разноцветными... мне же интересно... нагнулась рассматривать))). Они пластиковые, грамм на 20-30, и в них, оказывается, 16,5 процентные коктейли с разными вкусами. Тоже, небось, не копейки стоят. Видимо, малопьющие могут такими дозами расслабляться, а труалкашне цены не помеха! Валяются прямо в центре на памятниках, выглядят так, как наши, один в один!!! Одеты так же))). На одежду им не хватает, а на нажраться - хватает(((
500р - это круто за пиво:eek:. Я бы такое пиво вряд ли стала покупать вобще:D
 
Если б я не пил - меня бы на этом сайте не было. За этим и пришёл? А ты здесь зачем?
 
На сей случай у каждого второго в чулане самогонный аппарат, да и на огороде свободного места под махру всегда найдется. Проходили уже это.
Ну для совсем алкашей да, а я вот допустим не буду покупать. Мне жалко на это денег будет. Многие даже сейчас бросая курить одну из причин деньги указывают. А если по 200р пачка- таких в два раза больше будет;) а пиво по 500р:bounce: ну я переживу без него:bounce:
 
Ну для совсем алкашей да, а я вот допустим не буду покупать. Мне жалко на это денег будет. Многие даже сейчас бросая курить одну из причин деньги указывают. А если по 200р пачка- таких в два раза больше будет;) а пиво по 500р:bounce: ну я переживу без него:bounce:
Да это почти главный фактор! Молодые по крайней мере точно сигареты покупать не будут. Не то что мы - на каждом углу поштучно на сдачу от Турбо... ;)
 
забавно, но это реальность, очень часто вижу молодых именно с гаджетом
Я у своего сына заметил. Спросил. Он говорит интересно было попробовать, модно. Но так и валялся на полке - потом я его в мусорке увидел. Мне кажется это был Хайп, как сейчас говорят. Причем похоже все менее популярный. Может где в Моске-Питере и модно. У нас в "поселке" я практически вообще перестал их видеть. Или дорого или беспонтово?
 
например было так, пару раз мог попить пива без последствий, но на третий или четвёртый раз обязательно с каким-нибудь ахтунгом. Проблема есть- надо решить, я принял для себя решение, что больше не хочу травиться.
У меня так же, пару раз нормально, на третий раз с приключениями. С каждым разом все хуже и хуже и сложнее остановиться пить. Поняла что лучше не пить вообще, потому что по другому не получится.
 
На сей случай у каждого второго в чулане самогонный аппарат, да и на огороде свободного места под махру всегда найдется. Проходили уже это.
Вот именно- проходили...
Антиалкогольная кампания 1985 – 1990 гг.
В пятом дневнике тебе был задан вопрос о «сухом законе». Вопрос этот настолько серьезен, что если ты в нем не разберешься, то так и останешься воздержанником. Все дело в том, что те события освещались неверно, это было связано еще и с политикой – свержением Горбачева. Например, вырубкой виноградников можно вызвать недовольство и к трезвости и к действующей власти. Мы не даем оценку тому или иному политику, но для нас очень важно, что отрицательное отношение к трезвости было распространено в гигантских размерах на весь бывший Советский Союз и до сих пор в сознании людей, живших в то время, осталось негативное отношение к тем событиям. Но нам важны не эмоции, а цифровые показатели. Известно, что богатством любой страны являются люди. Сколько же мы сохранили жизней за эти пять лет? Ответ на этот вопрос мы находим в книге доктора медицинских наук, руководителя отдела информатики и системных исследований Московского научно-исследовательского института психиатрии Минздрав РФ Александра Викентьевича Немцова*.
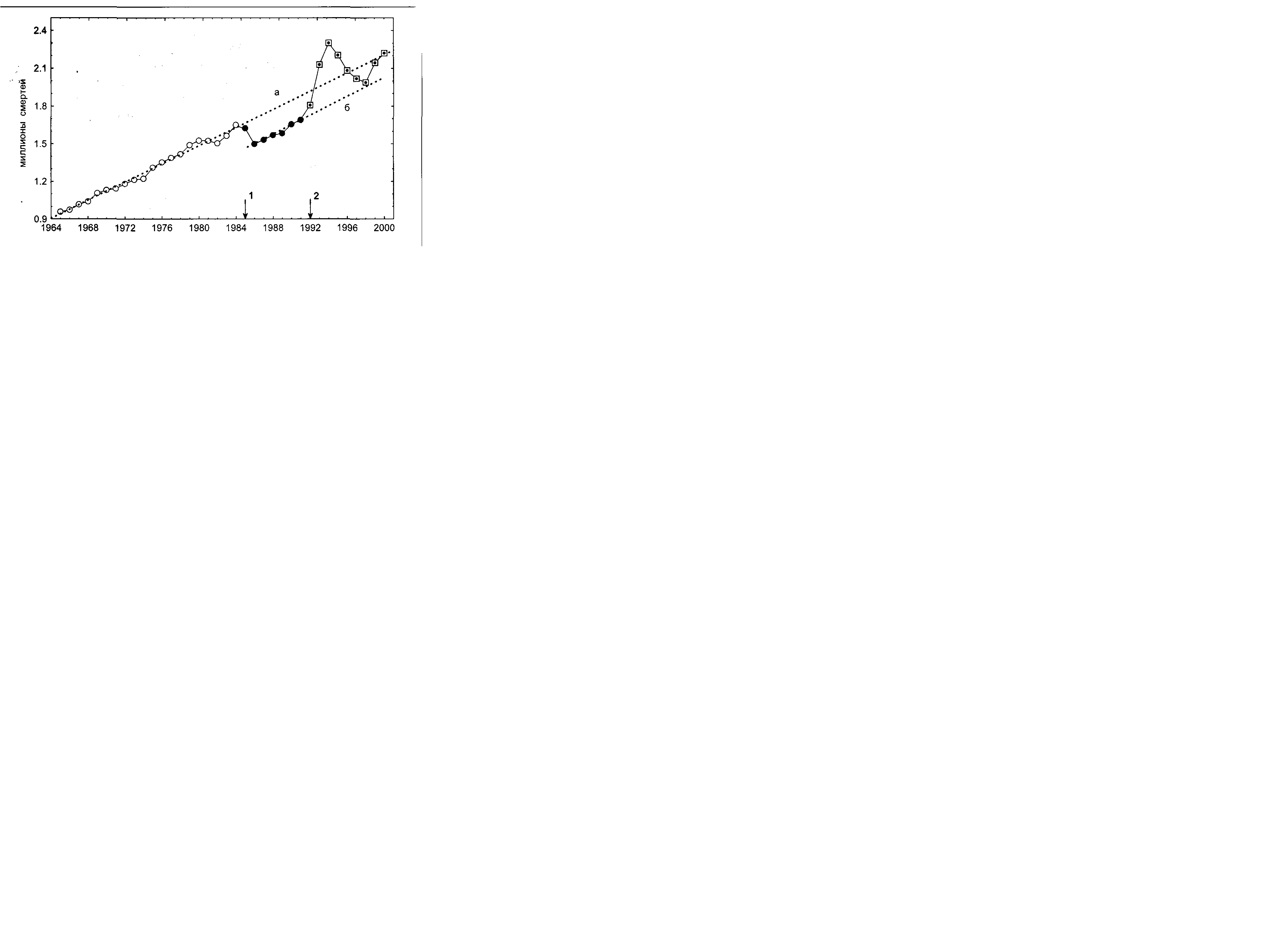
Алкогольная смертность
На рис. 1 показано, что общее количество смертей довольно равномерно увеличивалось с 1965 по 1984 гг. В это время увеличивалось и население.
Для оценки изменения смертности в связи с алкоголем во время антиалкогольной кампании важно, что линия «а» может служить прогнозом того, какова была бы смертность после 1984 г. если бы не началась антиалкогольная кампания. После резкого снижения смертности в 1985-1986 гг. и вплоть до 1991 г. смертность установилась на новом уровне (линия «б»).

Располагая этими данными, можно рассчитать количество людей, которые могли умереть, но не умерли во время антиалкогольной кампании. Это количество определяется отклонением от прогностической линии регрессии «а» наблюдаемого числа смертей в 1986-1991 гг., что составляет 1,22 миллиона человек или 204 тысячи в год. ТАКИМ ОБРАЗОМ, ВО ВРЕМЯ АНТИАЛКОГОЛЬНОЙ КАМПАНИИ И БЛАГОДАРЯ ЕЙ СОХРАНИЛИ ЖИЗНЬ БОЛЕЕ ОДНОГО МИЛЛИОНА ЧЕЛОВЕК.(!!!)
1964.webp

Рис. 1 Общее количество смертей в России в 1965-2000 гг. Светлые кружки – смерти в 1965-1984 гг., темные – смерти во время антиалкогольной кампании, квадраты – смерти во время рыночных реформ. 1 – начало антиалкогольной кампании; 2 – начало рыночных реформ, а – линия регрессии для данных 1965-1984 гг., б – линия регрессии для данных 1986-1991 гг.
Total mortality in Russia in 1965-2000. The lighter rings are deaths in 1965 to 1984,and the dark rings are deaths during the anti-alcohol campaign. The sguares are deaths during the market reforms. 1 – beginning of the anti-alcohol campaing, 2 – beginning of the market reforms, a – line of regression for 1965-1984 data, b – the line of regression for 1986-1991 data.
 
Я у своего сына заметил. Спросил. Он говорит интересно было попробовать, модно. Но так и валялся на полке - потом я его в мусорке увидел. Мне кажется это был Хайп, как сейчас говорят. Причем похоже все менее популярный. Может где в Моске-Питере и модно. У нас в "поселке" я практически вообще перестал их видеть. Или дорого или беспонтово?
это уже давно не мода, а обыденность, хотя и сигаретами "до жопы"
частят обычно с айкосом, вот с ним часто стал замечать
 
У меня так же, пару раз нормально, на третий раз с приключениями. С каждым разом все хуже и хуже и сложнее остановиться пить. Поняла что лучше не пить вообще, потому что по другому не получится.
Родственная душа. Да, не пить вообще это то, что нужно! Сейчас я уже начинаю понимать, насколько клёво не пить, - жизнь постепенно налаживается.
 

Сейчас в теме:

Назад
Сверху Снизу